Gợi ý giải đề môn Toán kỳ thi THPT Quốc gia năm 2017

Chiều nay, thí sinh đã hoàn tất bài thi môn Toán, kỳ thi trung học phổ thông quốc gia. VietnamPlus giới thiệu hướng dẫn giải đề của Hệ thống giáo dục HOCMAI.

Chiều nay, thí sinh đã hoàn tất bài thi môn Toán, kỳ thi Trung học phổ thông quốc gia. VietnamPlus giới thiệu hướng dẫn giải đề môn Toán mã đề 122, mã đề 110, mã đề 105 của Hệ thống giáo dục HOCMAI.

[Gợi ý giải đề môn Toán kỳ thi THPT Quốc gia năm 2017]

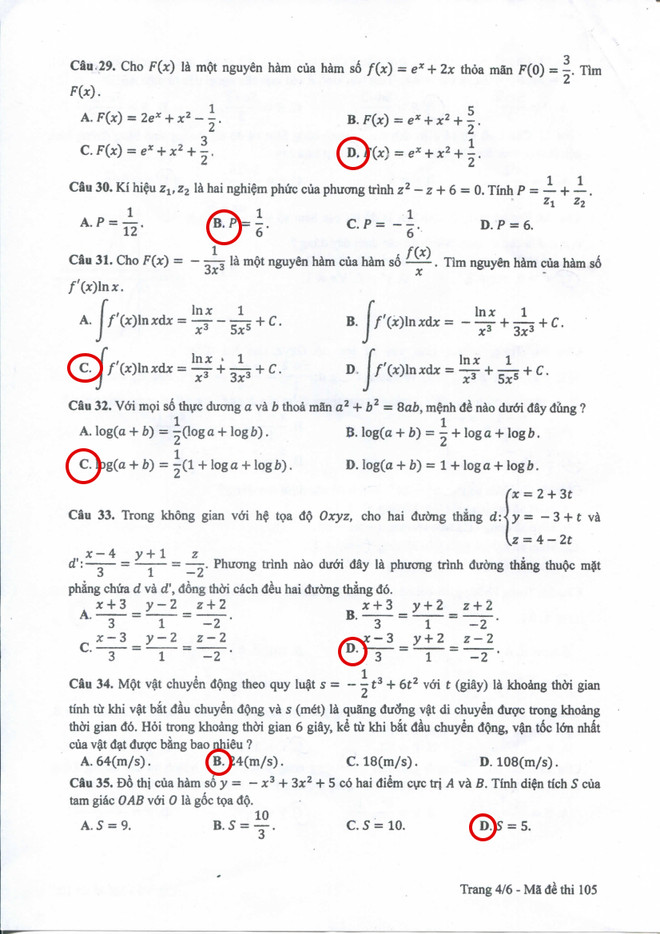
Gợi ý giải đề môn Toán kỳ thi THPT Quốc gia năm 2017 ảnh 1
Gợi ý giải đề môn Toán kỳ thi THPT Quốc gia năm 2017 ảnh 2
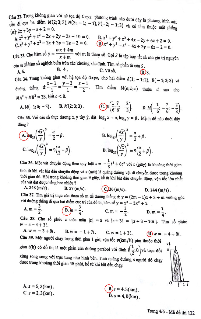
Gợi ý giải đề môn Toán kỳ thi THPT Quốc gia năm 2017 ảnh 3
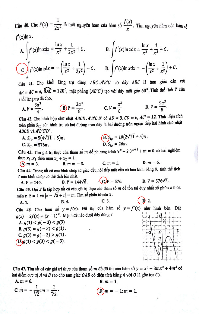
Gợi ý giải đề môn Toán kỳ thi THPT Quốc gia năm 2017 ảnh 4
Gợi ý giải đề môn Toán kỳ thi THPT Quốc gia năm 2017 ảnh 5
Gợi ý giải đề môn Toán kỳ thi THPT Quốc gia năm 2017 ảnh 6
Gợi ý giải đề môn Toán kỳ thi THPT Quốc gia năm 2017 ảnh 7
Gợi ý giải đề môn Toán kỳ thi THPT Quốc gia năm 2017 ảnh 8
Gợi ý giải đề môn Toán kỳ thi THPT Quốc gia năm 2017 ảnh 9
Gợi ý giải đề môn Toán kỳ thi THPT Quốc gia năm 2017 ảnh 10
Gợi ý giải đề môn Toán kỳ thi THPT Quốc gia năm 2017 ảnh 11
Gợi ý giải đề môn Toán kỳ thi THPT Quốc gia năm 2017 ảnh 12
Gợi ý giải đề môn Toán kỳ thi THPT Quốc gia năm 2017 ảnh 13
Gợi ý giải đề môn Toán kỳ thi THPT Quốc gia năm 2017 ảnh 14
Gợi ý giải đề môn Toán kỳ thi THPT Quốc gia năm 2017 ảnh 15
Gợi ý giải đề môn Toán kỳ thi THPT Quốc gia năm 2017 ảnh 16
Gợi ý giải đề môn Toán kỳ thi THPT Quốc gia năm 2017 ảnh 17
Gợi ý giải đề môn Toán kỳ thi THPT Quốc gia năm 2017 ảnh 18
Gợi ý giải đề môn Toán kỳ thi THPT Quốc gia năm 2017 ảnh 19
Gợi ý giải đề môn Toán kỳ thi THPT Quốc gia năm 2017 ảnh 20
Gợi ý giải đề môn Toán kỳ thi THPT Quốc gia năm 2017 ảnh 21

Tin cùng chuyên mục

Cà Mau trọn niềm tin về Đại hội XIV của Đảng

Cà Mau trọn niềm tin về Đại hội XIV của Đảng

Với một niềm tin sắt son và kỳ vọng lớn lao, người dân Cà Mau tin tưởng rằng, những quyết sách từ Đại hội XIV sẽ đưa đất nước bước vào kỷ nguyên vươn mình, phát triển phồn vinh và thịnh vượng.