Gợi ý giải đề Toán kỳ thi tuyển sinh vào lớp 10 tại Hà Nội

Đề thi môn Toán vào lớp 10 của Hà Nội năm nay khó hơn năm ngoái là nhận định của nhiều thí sinh sau buổi thi Toán. Dưới đây là gợi ý giải đề thi do các giáo viên của Hệ thống giáo dục Hocmai.
Gợi ý giải đề Toán kỳ thi tuyển sinh vào lớp 10 tại Hà Nội ảnh 1(Ảnh minh họa: TTXVN)

Đề thi môn Toán kỳ thi tuyển sinh vào lớp 10 của Hà Nội năm nay khó hơn năm ngoái là nhận định của nhiều thí sinh sau buổi thi Toán chiều nay, 7/6. Đề thi gồm 5 bài với nhiều câu hỏi nhỏ.

Trong đó các câu hỏi được thí sinh đánh giá khó nhất là câu b, ý 2 của bài số 3; bài số 5, câu c, d của bài 4.

Dưới đây là gợi ý giải đề thi do các giáo viên của Hệ thống giáo dục Hocmai.vn hướng dẫn.

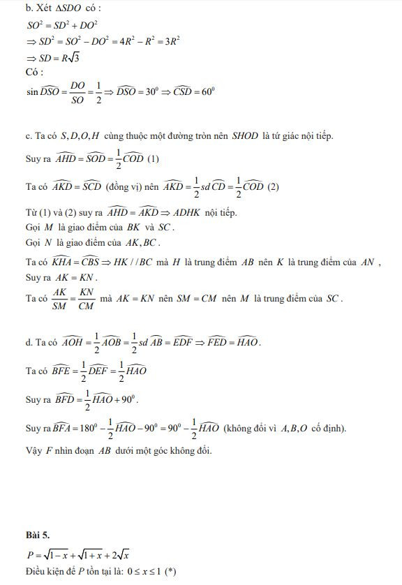
Gợi ý giải đề Toán kỳ thi tuyển sinh vào lớp 10 tại Hà Nội ảnh 2
Gợi ý giải đề Toán kỳ thi tuyển sinh vào lớp 10 tại Hà Nội ảnh 3
Gợi ý giải đề Toán kỳ thi tuyển sinh vào lớp 10 tại Hà Nội ảnh 4
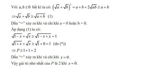
Gợi ý giải đề Toán kỳ thi tuyển sinh vào lớp 10 tại Hà Nội ảnh 5
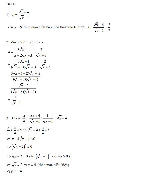
Gợi ý giải đề Toán kỳ thi tuyển sinh vào lớp 10 tại Hà Nội ảnh 6
(Vietnam+)

Tin cùng chuyên mục