Gợi ý giải đề thi môn Toán kỳ thi Tốt nghiệp Trung học phổ thông 2020

Đề thi môn Toán gồm 50 câu hỏi trắc nghiệm. Theo các thí sinh, đề thi khá dễ nhưng vẫn đảm bảo phân loại được thí sinh khi có khoảng 5-7 câu hỏi khó. Dưới đây là gợi ý đáp án đề thi, mã đề 113.
Thí sinh làm thủ tục dự thi Tốt nghiệp Trung học phổ thông. (Ảnh: Phạm Mai/Vietnam+)
Thí sinh làm thủ tục dự thi Tốt nghiệp Trung học phổ thông. (Ảnh: Phạm Mai/Vietnam+)

Rời khỏi trường thi sau môn Toán chiều nay, đa số thí sinh đều có tâm trạng khá thoải mái. Các em cho biết đề thi Toán không khó và các em làm bài khá tốt.

Theo thầy Lê Trần Bá Phương, giáo viên Hệ thống Giáo dục HOCMAI, đề gồm 50 câu hỏi trong đó có khoảng 80 câu hỏi dễ, 20% câu hỏi khó hơn, ở mức độ vận dụng và vận dụng cao. Với cấu trúc như vậy, tính phân loại của đề thi chưa cao, điểm 8, 9 sẽ khá nhiều, nhưng phù hợp với tính chất của kỳ thi năm nay là xét công nhận tốt nghiệp trung học phổ thông.

Do vẫn có các câu hỏi khó nên với đề thi này, các trường đại học vẫn có thể sử dụng kết quả làm căn cứ để xét tuyển.

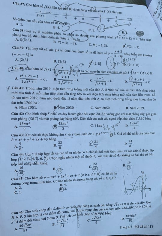
Dưới đây là gợi ý đáp án đề thi môn Toán, mã đề 113:

Gợi ý giải đề thi môn Toán kỳ thi Tốt nghiệp Trung học phổ thông 2020 ảnh 1

Đề môn Toán, mã đề 113 như sau:

Gợi ý giải đề thi môn Toán kỳ thi Tốt nghiệp Trung học phổ thông 2020 ảnh 2
Gợi ý giải đề thi môn Toán kỳ thi Tốt nghiệp Trung học phổ thông 2020 ảnh 3
Gợi ý giải đề thi môn Toán kỳ thi Tốt nghiệp Trung học phổ thông 2020 ảnh 4
Gợi ý giải đề thi môn Toán kỳ thi Tốt nghiệp Trung học phổ thông 2020 ảnh 5
Gợi ý giải đề thi môn Toán kỳ thi Tốt nghiệp Trung học phổ thông 2020 ảnh 6
(Vietnam+)

Tin cùng chuyên mục