(Nhấp chuột vào ảnh để xem kích thước chuẩn)
Năm 2016, điểm kỳ thi Trung học Phổ thông Quốc gia có số lượng bài thi đạt điểm 9-10 thấp hơn nhiều và tỷ lệ thí sinh bị điểm liệt đã giảm so với năm 2015./.
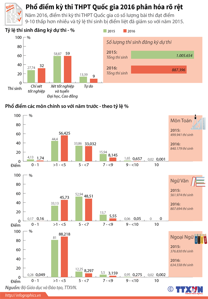
(Nhấp chuột vào ảnh để xem kích thước chuẩn)
Năm 2016, điểm kỳ thi Trung học Phổ thông Quốc gia có số lượng bài thi đạt điểm 9-10 thấp hơn nhiều và tỷ lệ thí sinh bị điểm liệt đã giảm so với năm 2015./.
Một trong những nội dung chính của Chiến lược công tác dân tộc giai đoạn 2021-2030 của Chính phủ là quan tâm phát triển, bồi dưỡng nguồn nhân lực; chăm lo xây dựng đội ngũ cán bộ dân tộc thiểu số.
Theo Trung ương Hội Sinh viên Việt Nam, cả nước hiện có hơn 2 triệu sinh viên đại học, song tỷ lệ sinh viên theo học các ngành STEM mới đạt khoảng 27-31%, tương đương khoảng 600.000 người.
Nhà xuất bản Giáo dục Việt Nam cho hay "Kết nối tri thức với cuộc sống" là bộ sách đầy đủ tất cả các môn, được biên soạn bởi đội ngũ chuyên nghiệp, được lựa chọn nhiều nhất và giá cả phù hợp.
Trong suốt chiều dài lịch sử, Đảng, Nhà nước luôn chú trọng tới việc nâng cao chất lượng nguồn nhân lực, đặc biệt là nguồn nhân lực chất lượng cao để đưa đất nước vững bước trong kỷ nguyên mới.
Bộ Giáo dục và Đào tạo đã quyết định chọn bộ “Kết nối tri thức với cuộc sống” của Nhà xuất bản Giáo dục Việt Nam là bộ sách giáo khoa sử dụng thống nhất toàn quốc từ năm học 2026-2027
Nhà xuất bản Giáo dục Việt Nam đã trao tặng hàng chục nghìn bản sách giáo khoa và tài chính cho các trường học tại Quảng Trị bị thiệt hại nặng do mưa lũ, góp phần kịp thời giúp học sinh sớm ổn định việc học tập và các nhà trường vượt qua khó khăn.
Trường Đại học Trà Vinh nằm trong top 200 đại học bền vững toàn cầu, khẳng định mô hình đại học xanh, phát triển bền vững và trách nhiệm xã hội.
Chiều 26/12, tại Trụ sở Trung ương Đảng, Tổng Bí thư Tô Lâm gặp mặt học sinh, sinh viên, thanh niên dân tộc thiểu số xuất sắc, tiêu biểu.
Tổng Bí thư khẳng định phát triển vùng đồng bào dân tộc thiểu số và miền núi là nhiệm vụ chiến lược, lâu dài, có ý nghĩa đặc biệt quan trọng đối với ổn định chính trị, phát triển bền vững và củng cố khối đại đoàn kết toàn dân tộc của đất nước.
Biểu dương học sinh đoạt giải tại các kỳ thi quốc tế năm 2025, Thủ tướng Phạm Minh Chính yêu cầu các bộ, ngành, địa phương tiếp tục quan tâm, chăm lo hơn nữa cho giáo dục và đào tạo.
Sáng 26/12, tại Hà Nội, Thủ tướng Phạm Minh Chính gặp mặt, biểu dương học sinh đoạt giải tại các kỳ thi quốc tế năm 2025.
Trong số hằng 2.000 đến 2.500 sinh viên được tuyển mới hàng năm, Chính phủ sẽ thu hút từ 1.000 đến 1.500 người có tiềm năng để đào tạo thành lực lượng lao động, cán bộ nòng cốt phát triển miền núi.
Kỳ thi sẽ được tổ chức trong hai ngày 25 và 26/12/2025 với sự tham gia của hơn 6.750 thí sinh đến từ các địa phương trên cả nước, tăng 270 thí sinh so với năm học 2024-2025.
Dự thảo thông tư đưa ra định hướng phân luồng học sinh sau trung học cơ sở và trung học phổ thông dựa trên nhu cầu nhân lực của từng vùng, miền và khả năng đáp ứng của hệ thống giáo dục.
Việt Nam cần xây dựng một hệ sinh thái giáo dục số toàn diện, trong đó công nghệ - đặc biệt là trí tuệ nhân tạo đóng vai trò là động lực thúc đẩy đổi mới phương pháp dạy học, nâng chất lượng đào tạo.
Mục tiêu của Đề án là đáp ứng yêu cầu mở rộng quy mô, nâng cao chất lượng giáo dục đại học cho vùng Bắc Bộ và Vùng Thủ đô Hà Nội; giãn bớt một số trường đại học, cao đẳng ra khỏi nội đô Hà Nội.
Học bổng toàn phần của Cuba dành cho sinh viên Việt Nam năm học 2026-2027, hỗ trợ miễn phí học tập, ăn ở và bảo hiểm y tế tại Cuba.
Ban Tổ chức kỳ vọng chương trình trao tặng tủ sách và thiết bị học tập sẽ góp phần kiến tạo một môi trường học tập tích cực, sáng tạo và nuôi dưỡng niềm đam mê đọc sách cho các em học sinh vùng cao.
Tính đến nay Nhà xuất bản Giáo dục Việt Nam đã kịp thời trao hơn 1,2 triệu cuốn sách giáo khoa, giúp học sinh vùng lũ sớm ổn định việc học.
Ngày 21/12, Báo Điện tử VietnamPlus phối hợp với Văn phòng Vietcombank, Đoàn Thanh niên TTXVN đã trao tặng Tủ sách Đinh Hữu Dư và trang thiết bị dạy - học cùng học bổng cho học sinh vùng cao Ba Bể.
Báo Điện tử VietnamPlus phối hợp với Văn phòng Vietcombank, Đoàn Thanh niên TTXVN tổ chức Chương trình “Chắp cánh tri thức - Kiến tạo trường học số," hỗ trợ cho điểm trường vùng cao Thái Nguyên.
73 sinh viên, học viên Lào, Campuchia tiêu biểu năm 2025 được lựa chọn từ 95 hồ sơ đề cử, bao gồm 64 lưu học sinh Lào và 9 lưu học sinh Campuchia.
Thanh tra Chính phủ vừa ban hành Thông báo kết luận thanh tra đối với một số dự án có khó khăn, vướng mắc tại Bộ Giáo dục và Đào tạo; Viện Hàn lâm Khoa học và Công nghệ Việt Nam.
Với sự tận tâm và năng lực, cô Nguyễn Thị Diệu Hạnh (trường THPT chuyên Quốc học Huế) bồi dưỡng nhiều thế hệ học sinh chuyên Sinh đạt thành tích cao trong kỳ thi trong nước và quốc tế.
Liên quan đến vụ 41 học sinh bị ngộ độc thực phẩm, ông Đỗ Văn Mỹ, Hiệu trưởng nhà trường và bà Đỗ Thị Hồng Huế, Phó Hiệu trưởng Trường Phổ thông dân tộc bán trú Tiểu học Kim Thủy bị cách chức.
Thứ trưởng Phạm Ngọc Thưởng đề nghị khi sắp xếp cơ sở giáo dục phải đảm bảo mục tiêu cao nhất là nâng cao chất lượng giáo dục, bảo đảm quyền học tập của học sinh và điều kiện dạy của giáo viên.
Bộ Giáo dục và Đào tạo yêu cầu việc thí điểm phải không gây quá tải, phù hợp với tâm sinh lý và khả năng tiếp cận của từng đối tượng học sinh và điều kiện địa phương, không nóng vội, hình thức.
Thanh xuân của cô không có những bộ quần áo đẹp, những chuyến du lịch hay cuộc sống thành thị tiện nghi. Thanh xuân ấy hòa vào màu nâu của đất, màu xanh của núi rừng Tây Bắc và ánh sáng hy vọng trong mắt trẻ thơ. Câu chuyện của cô Liên là bài ca về sự kiên trì, lòng nhân ái và sức mạnh của giáo dục – thứ sức mạnh có thể bắc những nhịp cầu vượt qua mọi cách trở, để những ước mơ nhỏ bé cũng có cơ hội được chạm đến bầu trời.
Trường Đại học Sư phạm Thành phố Hồ Chí Minh đã công bố kế hoạch tổ chức kỳ thi đánh giá năng lực chuyên biệt (H-SCA) năm 2026 theo 3 đợt, bắt đầu từ tháng 3-5/2026.
Không phải mọi công việc trẻ em làm đều là lao động trẻ em. Việc nhận diện cần căn cứ độ tuổi, thời giờ làm việc, loại công việc, nơi làm việc và hình thức lao động trẻ em theo Công ước 182 của Tổ chức Lao động Quốc tế (ILO).