Hướng dẫn giải đề thi môn Toán tuyển sinh vào lớp 10 ở Hà Nội

Nhóm giáo viên dạy môn toán là cựu sinh viên khoa Toán, trường Đại học Sư phạm Hà Nội gợi ý hướng dẫn giải đề thi môn Toán kỳ thi tuyển sinh vào lớp 10 của Hà Nội.
Hướng dẫn giải đề thi môn Toán tuyển sinh vào lớp 10 ở Hà Nội ảnh 1Thí sinh Hà Nội dự thi vào lớp 10. (Ảnh: Quý Trung/TTXVN)

Chiều nay, các thí sinh của Hà Nội đã kết thúc bài thi môn Toán kỳ thi tuyển sinh vào lớp 10. 

Đề thi được thí sinh đánh giá là không khó, tuy nhiên vẫn có ý D của bài hình học và bài tập số 5 khiến nhiều em lúng túng. Các thí sinh nhận định đây là các câu hỏi nhằm phân loại học sinh.

Nhóm các giáo viên dạy toán tại Hà Nội, là cựu sinh viên K56A trường Đại học Sư phạm Hà Nội (gồm các thầy cô: thầy Cai Việt Long, giáo viên dạy toán Trường Trung học phổ thông chuyên Amsterdam; thầy Nguyễn Đăng Dũng giáo viên dạy toán khối Trung học phổ thông chuyên Đại học Sư phạm Hà Nội; cô Nguyễn Thị Vân Anh và Trần Mạnh Cương, giáo viên dạy toán Trường Trung học phổ thông Phan Chu Trinh) đã gửi đến VietnamPlus hướng dẫn giải đề Toán. Sau mỗi bài giải, các giáo viên có phần nhận xét về từng bài.

Dưới đây là chi tiết hướng dẫn của các thầy cô giáo:

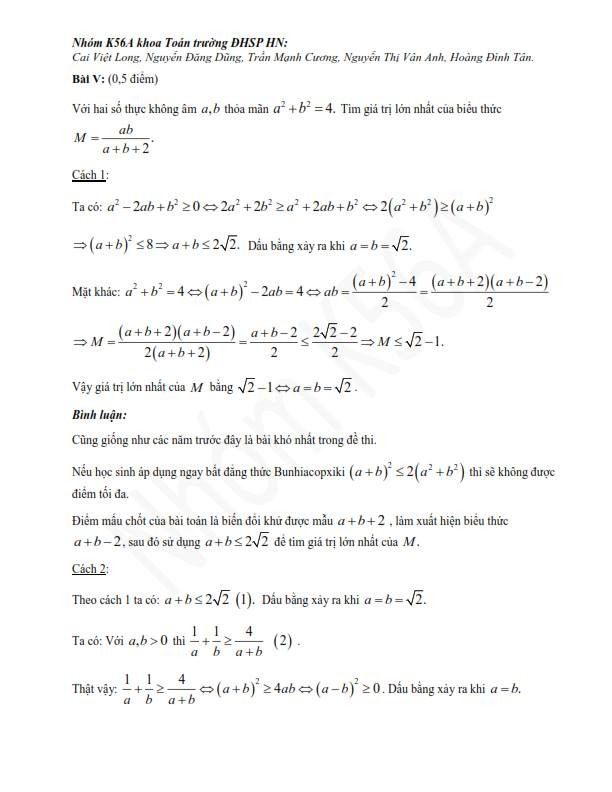
Hướng dẫn giải đề thi môn Toán tuyển sinh vào lớp 10 ở Hà Nội ảnh 2Hướng dẫn giải toán, trang 1. (Nguồn: Cai Việt Long)
Hướng dẫn giải đề thi môn Toán tuyển sinh vào lớp 10 ở Hà Nội ảnh 3Hướng dẫn giải toán, trang 2. (Nguồn: Cai Việt Long)
Hướng dẫn giải đề thi môn Toán tuyển sinh vào lớp 10 ở Hà Nội ảnh 4Hướng dẫn giải toán, trang 3. (Nguồn: Cai Việt Long)
Hướng dẫn giải đề thi môn Toán tuyển sinh vào lớp 10 ở Hà Nội ảnh 5Hướng dẫn giải toán, trang 4. (Nguồn: Cai Việt Long)
Hướng dẫn giải đề thi môn Toán tuyển sinh vào lớp 10 ở Hà Nội ảnh 6Hướng dẫn giải toán, trang 5. (Nguồn: Cai Việt Long)
Hướng dẫn giải đề thi môn Toán tuyển sinh vào lớp 10 ở Hà Nội ảnh 7Hướng dẫn giải toán, trang 6. (Nguồn: Cai Việt Long)
Hướng dẫn giải đề thi môn Toán tuyển sinh vào lớp 10 ở Hà Nội ảnh 8Hướng dẫn giải toán, trang 7. (Nguồn: Cai Việt Long)
Hướng dẫn giải đề thi môn Toán tuyển sinh vào lớp 10 ở Hà Nội ảnh 9Hướng dẫn giải toán, trang 8. (Nguồn: Cai Việt Long)
(Vietnam+)

Tin cùng chuyên mục