Gợi ý giải đề thi môn Toán kỳ thi tuyển vào lớp 10 tại Hà Nội

Sáng nay, gần 89.000 học sinh Hà Nội đã kết thúc môn thi cuối cùng của kỳ thi tuyển sinh vào lớp 10 trung học phổ thông, môn Toán, theo hình thức thi tự luận.
Gợi ý giải đề thi môn Toán kỳ thi tuyển vào lớp 10 tại Hà Nội ảnh 1Thí sinh dự thi vào lớp 10 tại Hà Nội. (Ảnh: Thanh Tùng/TTXVN)

Sáng nay, gần 89.000 học sinh Hà Nội đã kết thúc môn thi cuối cùng của kỳ thi tuyển sinh vào lớp 10 trung học phổ thông, môn Toán, theo hình thức thi tự luận.

Đề thi gồm 5 câu hỏi và được thí sinh đánh giá là không quá khó. 

Gợi ý giải đề thi môn Toán kỳ thi tuyển vào lớp 10 tại Hà Nội ảnh 2

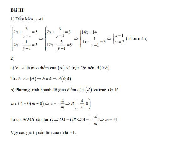
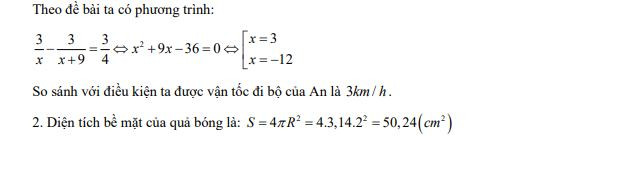
Dưới đây là gợi ý giải đề của các giáo viên tổ bộ môn toán, thuộc Hệ thống Giáo dục HOCMAI:

Gợi ý giải đề thi môn Toán kỳ thi tuyển vào lớp 10 tại Hà Nội ảnh 3
Gợi ý giải đề thi môn Toán kỳ thi tuyển vào lớp 10 tại Hà Nội ảnh 4
Gợi ý giải đề thi môn Toán kỳ thi tuyển vào lớp 10 tại Hà Nội ảnh 5
Gợi ý giải đề thi môn Toán kỳ thi tuyển vào lớp 10 tại Hà Nội ảnh 6
Gợi ý giải đề thi môn Toán kỳ thi tuyển vào lớp 10 tại Hà Nội ảnh 7Nhập mô tả cho ảnh
Gợi ý giải đề thi môn Toán kỳ thi tuyển vào lớp 10 tại Hà Nội ảnh 8
(Vietnam+)

Tin cùng chuyên mục