Đáp án đề thi môn Toán khối D kỳ thi đại học, cao đẳng 2014

Vietnam+ xin giới thiệu Đáp án đề thi môn Toán khối D kỳ thi đại học, cao đẳng năm 2014 của nhóm chuyên gia giải đề thi đại học.

Vietnam+ xin giới thiệu Đáp án đề thi môn Toán khối D kỳ thi đại học, cao đẳng năm 2014 của nhóm chuyên gia giải đề thi đại học gồm thầy Hoàng Trọng Hảo-Tạp chí Toán Tuổi thơ; thầy Cao Văn Dũng, Lê Đức Thuận-Trường THPT Chuyên Hà Nội Amsterdam; thầy Hoàng Ngọc Minh, Nguyễn Tiến Lâm-Trường THPT Chuyên Khoa học tự nhiên và thầy Bùi Mạnh Tùng-Trường THCS Trưng Vương, Hà Nội.

Đáp án đề thi môn Toán khối D kỳ thi đại học, cao đẳng 2014 ảnh 1
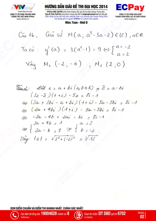
Đáp án đề thi môn Toán khối D kỳ thi đại học, cao đẳng 2014 ảnh 2
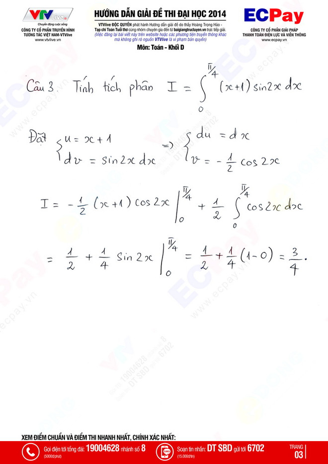
Đáp án đề thi môn Toán khối D kỳ thi đại học, cao đẳng 2014 ảnh 3
Đáp án đề thi môn Toán khối D kỳ thi đại học, cao đẳng 2014 ảnh 4
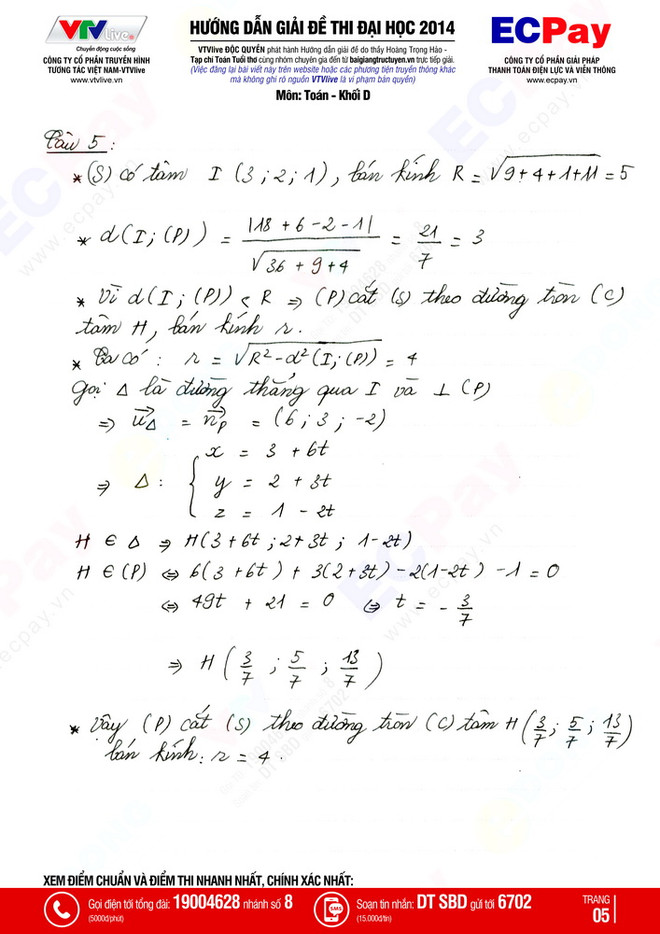
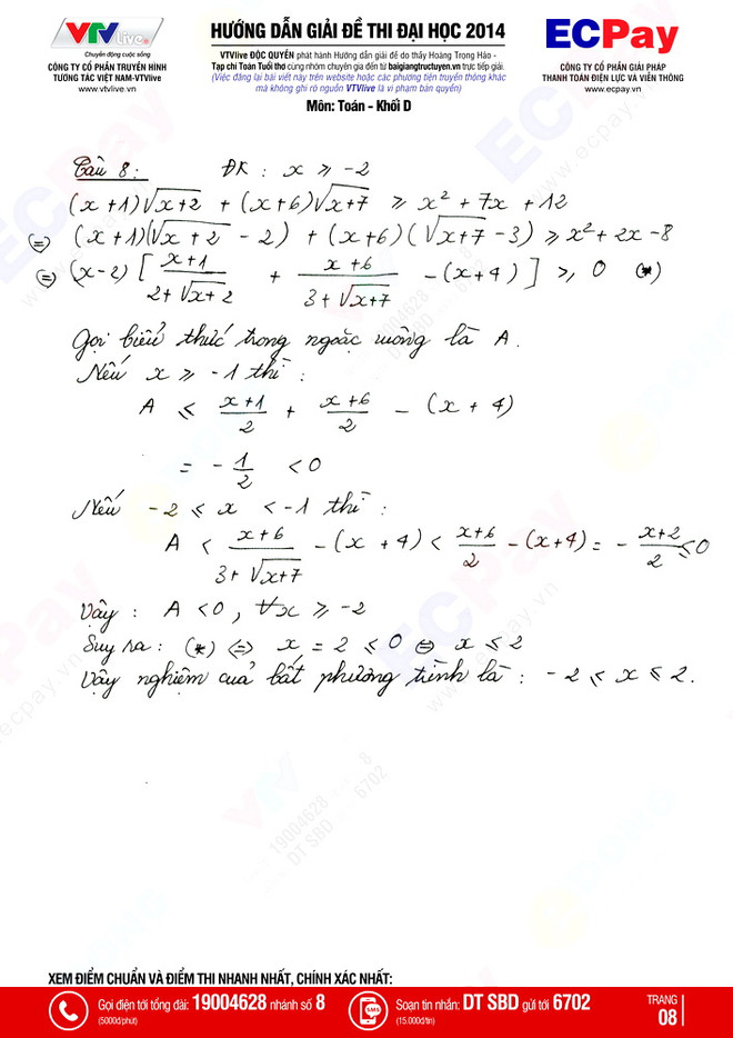
Đáp án đề thi môn Toán khối D kỳ thi đại học, cao đẳng 2014 ảnh 5
Đáp án đề thi môn Toán khối D kỳ thi đại học, cao đẳng 2014 ảnh 6
Đáp án đề thi môn Toán khối D kỳ thi đại học, cao đẳng 2014 ảnh 7
Đáp án đề thi môn Toán khối D kỳ thi đại học, cao đẳng 2014 ảnh 8
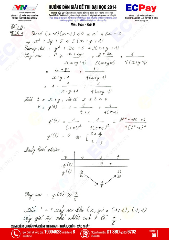
Đáp án đề thi môn Toán khối D kỳ thi đại học, cao đẳng 2014 ảnh 9
Đáp án đề thi môn Toán khối D kỳ thi đại học, cao đẳng 2014 ảnh 10
Đáp án đề thi môn Toán khối D kỳ thi đại học, cao đẳng 2014 ảnh 11
Đáp án đề thi môn Toán khối D kỳ thi đại học, cao đẳng 2014 ảnh 12
(Vietnam+)

Tin cùng chuyên mục